四季生鮮肉品-雞肉批發,雞肉供應商,台北雞肉批發,台北雞肉客製化
購物車(0)
匯款通知
關於四季
公司歷程
經營理念
衛生安全
食品衛生管理法
HACCP食品安全管制系統
零售產品
好康優惠
好鮮宅配
烤肉組合
全雞/雞胸/雞腿/雞翅/棒腿/
客製化加工
全雞/雞胸/雞腿/雞翅/棒腿/腿排/內臟/其他
樣品索取
雞毛大小事
最新消息
常見Q&A
人力招募
聯絡我們
雞毛大小事
首頁
>
雞毛大小事
>
最新消息
文章分類
Article
最新消息
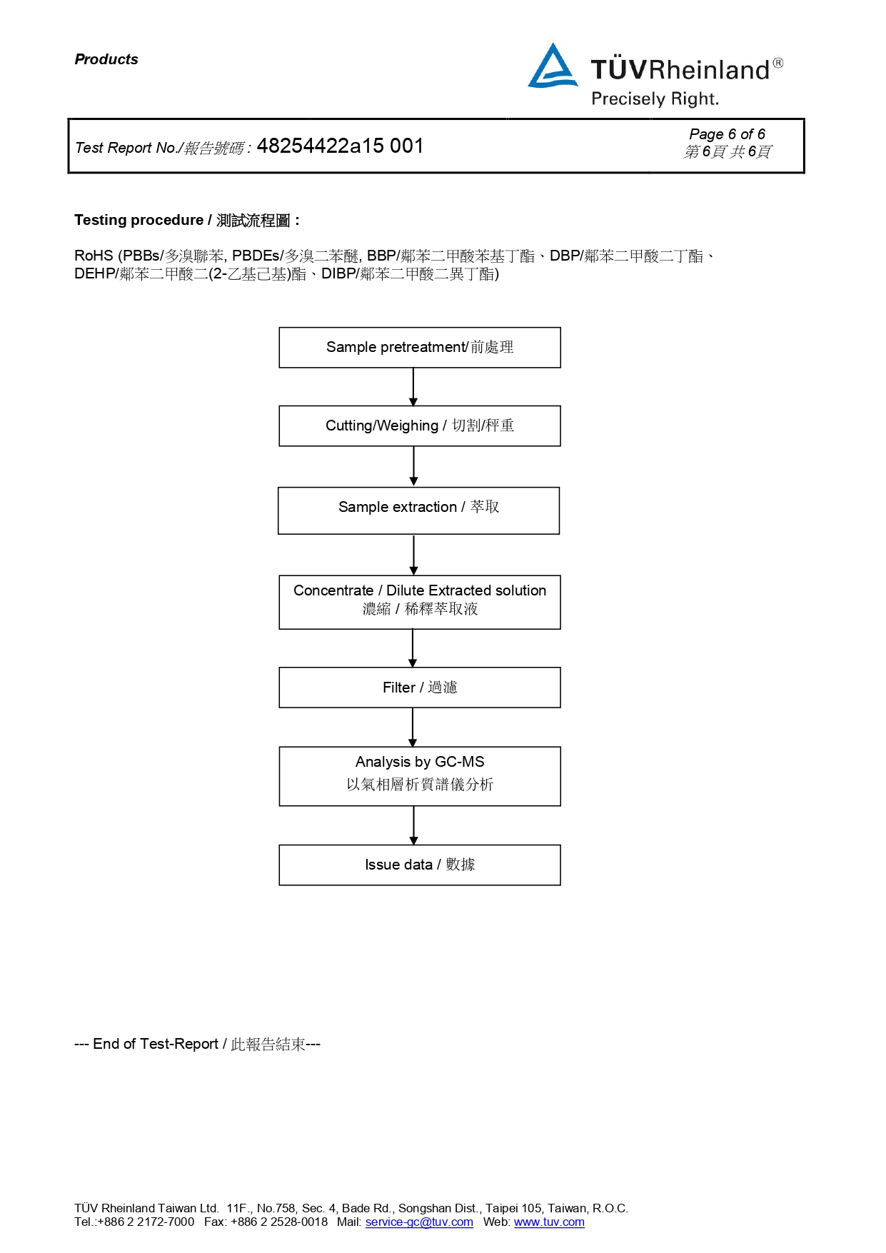
食品級紙類及塑膠類檢驗報告
上一篇
回列表
下一篇
TOP
回首頁
匯款通知
購物車(0)